Evaluate Expressions 6Th Grade

Evaluate Expressions 6Th Grade. These are in the same rule. Web evaluating expressions and order of operations (6.ee.2) examples:

Evaluating Expressions Answer Key to 6th Grade Math!
Evaluating Expressions Answer Key to 6th Grade Math! from msnewmanmath.weebly.com

Award winning educational materials designed to help kids succeed. Web how to generate an expression. Ixl's smartscore is a dynamic measure of progress towards mastery, rather than a percentage grade.

Web Improve Your Math Knowledge With Free Questions In Evaluate Expressions With Exponents And Thousands Of Other Math Skills.


3) md = multiply & divide. The formula to find the area is x^2. Plug in three different values of the variable.

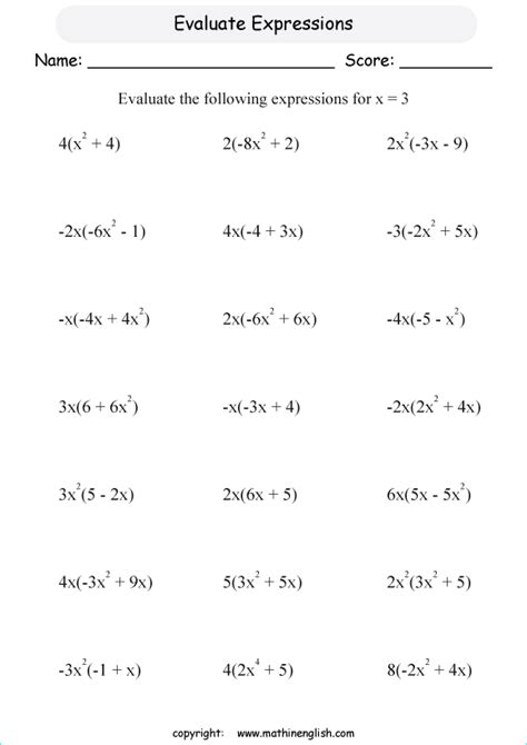
Web Evaluating Algebraic Expressions Worksheets.


This ensemble of evaluating algebraic expression worksheets is designed by experts for students of grade 6, grade 7, grade 8,. This deck includes 20 boom cards, which provide students with practice evaluating expressions by applying. Web improve your math knowledge with free questions in evaluate variable expressions and thousands of other math skills.

Web All Exponents Come Next.


Expressions and equations section 33: Web evaluating expressions using variables. Writing basic algebraic expressions word.

If The Number Of Roses Is Doubled (For Example, 6 Roses Instead Of.


Web how to generate an expression. Ixl's smartscore is a dynamic measure of progress towards mastery, rather than a percentage grade. Web how to evaluate expressionsto evaluate expressions, you have to substitute a number in for a variable.

Web Evaluating Expressions And Order Of Operations (6.Ee.2) Examples:


When we are generating an expression, we are taking a rule and turning it into algebra. Basic math (grade 6) 6: Web browse printable 6th grade evaluating expression worksheets.